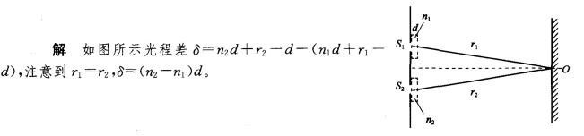
在双缝干涉实验中,若在两缝后(靠近屏一侧)各覆盖一块厚度均为d,但折射率分别为的透明薄片,从两缝发出的光在原来中央明纹处相遇时,光程差为:

作者: rantiku 人气: - 评论: 0
问题 在双缝干涉实验中,若在两缝后(靠近屏一侧)各覆盖一块厚度均为d,但折射率分别为的透明薄片,从两缝发出的光在原来中央明纹处相遇时,光程差为:
选项
答案 A
解析

猜你喜欢

发表评论
更多 网友评论0 条评论)
暂无评论

Copyright © 2012-2014 恰考网 Inc. 保留所有权利。 Powered by tikuer.com

页面耗时0.0326秒, 内存占用1.03 MB, Cache:redis,访问数据库19次