图示均质圆轮,质量为m,半径为r,在铅垂图面内绕通过圆盘中O的水平轴转动,角速度为ω,角加速度为ε,此时将圆轮的惯性力系向O点简化,其惯性力主矢和惯性...

作者: rantiku 人气: - 评论: 0
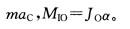
问题 图示均质圆轮,质量为m,半径为r,在铅垂图面内绕通过圆盘中O的水平轴转动,角速度为ω,角加速度为ε,此时将圆轮的惯性力系向 O点简化,其惯性力主矢和惯性力主矩的大小分别为:
选项
答案 C
解析 解 根据定轴转动刚体惯性力系的简化结果,惯性力主矢和主矩的大小分别为F1 =

猜你喜欢

发表评论
更多 网友评论0 条评论)
暂无评论

Copyright © 2012-2014 恰考网 Inc. 保留所有权利。 Powered by tikuer.com

页面耗时0.0323秒, 内存占用1.03 MB, Cache:redis,访问数据库17次