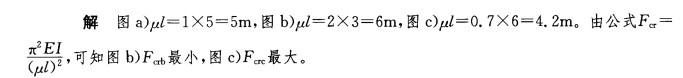
图示三根压杆均为细长(大柔度)压杆,且弯曲刚度均为EI。三根压杆的临界荷载Ecr 的关系为:

作者: rantiku 人气: - 评论: 0
问题 图示三根压杆均为细长(大柔度)压杆,且弯曲刚度均为EI。三根压杆的临界荷载Ecr 的关系为:
选项
答案 C
解析

猜你喜欢

发表评论
更多 网友评论0 条评论)
暂无评论

Copyright © 2012-2014 恰考网 Inc. 保留所有权利。 Powered by tikuer.com

页面耗时0.0324秒, 内存占用1.03 MB, Cache:redis,访问数据库19次