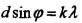
一束白光垂直照射在一光栅上,在形成的第一级光栅光谱中,最靠近中央明纹的是( )。A.紫光B.绿光C.黄光D.红光

作者: rantiku 人气: - 评论: 0
问题 一束白光垂直照射在一光栅上,在形成的第一级光栅光谱中,最靠近中央明纹的是( )。
选项 A.紫光 B.绿光 C.黄光 D.红光
答案 A
解析 提示:光栅公式,同级条纹波长越小衍射角越小。

猜你喜欢

发表评论
更多 网友评论0 条评论)
暂无评论

Copyright © 2012-2014 恰考网 Inc. 保留所有权利。 Powered by tikuer.com

页面耗时0.0302秒, 内存占用1.03 MB, Cache:redis,访问数据库19次