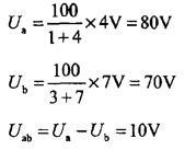
如图7-10所示电路ab端口的等效电路为()。A.70V与2.9Ω串联B.-70V与2.93Ω串联C.10V与2.9Ω串联D.-70V与2...
相关内容:如图,电路,端口,等效电路,B.-70V,D.-70V
- 如图4-38所示,绳子的一端绕在滑轮上,另一端与置于水平面上的物块B相连,若物B的运动方程为x=kt2,其中k为常数,轮子半径为R,则轮缘上A点的加速度的...
- 点M沿平面曲线运动,在某瞬时,速度大小v = 6m/s,加速度大小a = 8 m/s2,两者之间的夹角为30°,如图4-36所示,则点M所在之处的轨迹曲率...
- 简支梁受分布荷载作用如图4-13所示。支座A、B的约束力为( )。
- 两直角刚杆AC、CB支承如图4-5所示,在铰C处受力F作用,则A、B两处约束力的作用线与x轴正向所成的夹角分别为( )。A. 0° , 90°B. 9...
- 平面汇交力系(F1,F2, F3, F4, F5)的力多边形如图4-4所示,则该力系的合力FR等于( )。A. F3B. -F3C. F2...