A. 2B. -2C. -1/2D. 1/2

作者: rantiku 人气: - 评论: 0
问题
选项 A. 2 B. -2 C. -1/2 D. 1/2
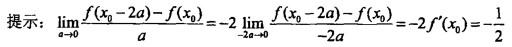
答案 C
解析 正确答案是C。

猜你喜欢

发表评论
更多 网友评论0 条评论)
暂无评论

Copyright © 2012-2014 恰考网 Inc. 保留所有权利。 Powered by tikuer.com

页面耗时0.0589秒, 内存占用1.03 MB, Cache:redis,访问数据库18次