Ag2C2O4的溶度积1.0×10-11,其饱和溶液中Ag+离子浓度为( )mol/L。A. 2.15x10-4B. 1.36x10-4C. 4....

作者: rantiku 人气: - 评论: 0
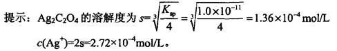
问题 Ag2C2O4的溶度积1.0×10-11,其饱和溶液中Ag+离子浓度为( )mol/L。
选项 A. 2.15x10-4 B. 1.36x10-4 C. 4.30×10-4 D. 2.72x10-4
答案 D
解析

猜你喜欢

发表评论
更多 网友评论0 条评论)
暂无评论

Copyright © 2012-2014 恰考网 Inc. 保留所有权利。 Powered by tikuer.com

页面耗时0.0981秒, 内存占用1.01 MB, Cache:redis,访问数据库20次