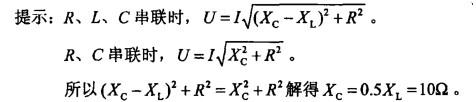
在R、L、C串联电路中,XL=20Ω:若总电压维持不变而将L短路,总电流的有效值与原来相同,则XL应为()Ω。A.40B.30C.10D.5

作者: rantiku 人气: - 评论: 0
问题 在R、L、C串联电路中,XL=20Ω:若总电压维持不变而将L短路,总电流的有效值与原来相同,则XL应为()Ω。
选项 A.40 B.30 C.10 D.5
答案 C
解析 正确答案是C。

猜你喜欢

发表评论
更多 网友评论0 条评论)
暂无评论

Copyright © 2012-2014 恰考网 Inc. 保留所有权利。 Powered by tikuer.com

页面耗时0.0617秒, 内存占用1.03 MB, Cache:redis,访问数据库19次