某公司建设一个项目,初期投资为1000万元,要求年收益率为15%,为了保证 在5年内收回全部投资,则每年至少要等额回收资金( )万元。A. 233.8...

作者: rantiku 人气: - 评论: 0
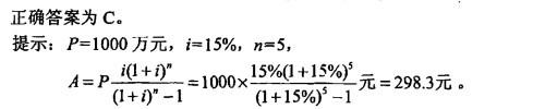
问题 某公司建设一个项目,初期投资为1000万元,要求年收益率为15%,为了保证 在5年内收回全部投资,则每年至少要等额回收资金( )万元。
选项 A. 233.8 B. 258.6 C. 298.3 D. 300.0
答案 C
解析

猜你喜欢

发表评论
更多 网友评论0 条评论)
暂无评论

Copyright © 2012-2014 恰考网 Inc. 保留所有权利。 Powered by tikuer.com

页面耗时0.0479秒, 内存占用1.03 MB, Cache:redis,访问数据库18次