设平面π的方程为2x-2y+3 = 0,以下选项中错误的是( )。A.平面π的法向量为i-jB.平面π垂直于z轴C.平面π平行于z轴D.平面π...

作者: rantiku 人气: - 评论: 0
问题 设平面π的方程为2x-2y+3 = 0,以下选项中错误的是( )。
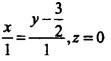
选项 A.平面π的法向量为i-j B.平面π垂直于z轴 C.平面π平行于z轴 D.平面π与xOy面的交线为
答案 B
解析 正确答案是B。 提示:由所给平面π的方程知,平面π平行于z轴,不可能垂直于z轴。

猜你喜欢

发表评论
更多 网友评论0 条评论)
暂无评论

Copyright © 2012-2014 恰考网 Inc. 保留所有权利。 Powered by tikuer.com

页面耗时0.0413秒, 内存占用1.03 MB, Cache:redis,访问数据库20次