如图4-45所示,圆盘某瞬时以角速度ω,角加速度α绕轴O转动,其上A、B两点的加速度分别为aA和aB,与半径的夹角分别为θ和φ。若OA=R, OB = R...

作者: rantiku 人气: - 评论: 0
问题 如图4-45所示,圆盘某瞬时以角速度ω,角加速度α绕轴O转动,其上A、B两点的加速度分别为aA和aB,与半径的夹角分别为θ和φ。若OA=R, OB = R/2,则aA与aB,θ与 φ 的关系分别为( )。
选项 A.aA=aB θ=φ B.aA=aB θ=2φ C.aA=2aB θ=φ D.aA=2aB θ=2φ
答案 C
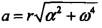
解析 提示:定轴转动刚体内各点加速度的分布为 ,其中r为点到转动轴的距离;

猜你喜欢

发表评论
更多 网友评论0 条评论)
暂无评论

Copyright © 2012-2014 恰考网 Inc. 保留所有权利。 Powered by tikuer.com

页面耗时0.0346秒, 内存占用1.03 MB, Cache:redis,访问数据库19次