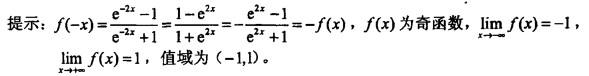
A. f(x)为偶函数,值域为(-1,1)B. f(x)为奇函数,值域为(-∞,0)C.f(x)为奇函数,值域为(-1,1)D. f(x)为奇...

作者: rantiku 人气: - 评论: 0
问题
选项 A. f(x)为偶函数,值域为(-1,1) B. f(x)为奇函数,值域为(-∞,0) C.f(x)为奇函数,值域为(-1,1) D. f(x)为奇函数,值域为(0,+∞)
答案 C
解析 正确答案是C。

猜你喜欢

发表评论
更多 网友评论0 条评论)
暂无评论

Copyright © 2012-2014 恰考网 Inc. 保留所有权利。 Powered by tikuer.com

页面耗时0.0476秒, 内存占用1.01 MB, Cache:redis,访问数据库20次