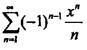
幂级数的收敛区间为( )。A. [-1,1]B. (-1,1]C. [-1,1)D. (-1,1)

作者: rantiku 人气: - 评论: 0
问题 幂级数的收敛区间为( )。
选项 A. [-1,1] B. (-1,1] C. [-1,1) D. (-1,1)
答案 A
解析 提示:收敛半径R= 1,级数在端点都收敛。

猜你喜欢

发表评论
更多 网友评论0 条评论)
暂无评论

Copyright © 2012-2014 恰考网 Inc. 保留所有权利。 Powered by tikuer.com

页面耗时0.0450秒, 内存占用1.01 MB, Cache:redis,访问数据库20次