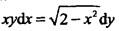
微分方程的通解是( )。

作者: rantiku 人气: - 评论: 0
问题 微分方程的通解是( )。
选项
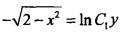
答案 C
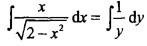
解析 提示:分离变量得,,两边积分得,,整理得

猜你喜欢

发表评论
更多 网友评论0 条评论)
暂无评论

Copyright © 2012-2014 恰考网 Inc. 保留所有权利。 Powered by tikuer.com

页面耗时0.0262秒, 内存占用1.01 MB, Cache:redis,访问数据库19次