两明渠均匀流,流量相等,且断面形状尺寸、水深都相同,A的粗糖系数是B的2倍,渠底坡度A是B的几倍?( )A. 0.5 倍B. 1 倍C. 2 倍 ...

作者: rantiku 人气: - 评论: 0
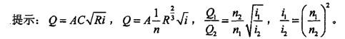
问题 两明渠均匀流,流量相等,且断面形状尺寸、水深都相同,A的粗糖系数是B的2倍,渠底坡度A是B的几倍?( )
选项 A. 0.5 倍 B. 1 倍 C. 2 倍 D. 4 倍
答案 D
解析

猜你喜欢

发表评论
更多 网友评论0 条评论)
暂无评论

Copyright © 2012-2014 恰考网 Inc. 保留所有权利。 Powered by tikuer.com

页面耗时0.0471秒, 内存占用1.03 MB, Cache:redis,访问数据库20次