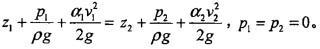
图6-16所示一高压喷嘴,喷嘴出口断面1-1的平均流速为10m/s,喷至2-2断面的平均流减少为1m/s,不计水头损失,则喷射高度H为( )m。A. ...

作者: rantiku 人气: - 评论: 0
问题 图6-16所示一高压喷嘴,喷嘴出口断面1-1的平均流速为10m/s,喷至2-2断面的平均流减少为1m/s,不计水头损失,则喷射高度H为( )m。
选项 A. 4.54 B. 3.25 C. 5.05 D. 6.22
答案 C
解析 提示:列1-1,2-2两断面能量方程

猜你喜欢

发表评论
更多 网友评论0 条评论)
暂无评论

Copyright © 2012-2014 恰考网 Inc. 保留所有权利。 Powered by tikuer.com

页面耗时0.0346秒, 内存占用1.03 MB, Cache:redis,访问数据库19次