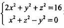
空间曲线在xOy平面的投影方程是()。

作者: rantiku 人气: - 评论: 0
问题 空间曲线在xOy平面的投影方程是()。
选项
答案 D
解析 正确答案是D。 提示:消去z得投影柱面方程X2+2y2=0,再与Z=0联立。

猜你喜欢

发表评论
更多 网友评论0 条评论)
暂无评论

Copyright © 2012-2014 恰考网 Inc. 保留所有权利。 Powered by tikuer.com

页面耗时0.0249秒, 内存占用1.03 MB, Cache:redis,访问数据库19次