图6-22中,并联管道1、2,两管的直径相同,不计局部损失,沿程阻力系数相同, 长度l2=2l1。通过的流量为( )。A. Q1=0.5Q2B. ...

作者: rantiku 人气: - 评论: 0
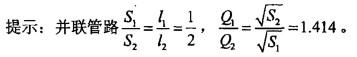
问题 图6-22中,并联管道1、2,两管的直径相同,不计局部损失,沿程阻力系数相同, 长度l2=2l1。通过的流量为( )。
选项 A. Q1=0.5Q2 B. Q1=Q2 C. Q1=1.4Q2 D. Q1=2Q2
答案 C
解析

猜你喜欢

发表评论
更多 网友评论0 条评论)
暂无评论

Copyright © 2012-2014 恰考网 Inc. 保留所有权利。 Powered by tikuer.com

页面耗时0.0423秒, 内存占用1.03 MB, Cache:redis,访问数据库19次