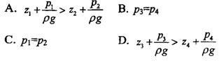
条件同上,各点的物理量有以下关系( )。

作者: rantiku 人气: - 评论: 0
问题 条件同上,各点的物理量有以下关系( )。
选项
答案 D
解析 提示:均匀流水头损失等于测压管水头的下降,两点不在一个过流断面上,会有 损失,所以上游的测压管水头大于下游的测压管水头。

猜你喜欢

发表评论
更多 网友评论0 条评论)
暂无评论

Copyright © 2012-2014 恰考网 Inc. 保留所有权利。 Powered by tikuer.com

页面耗时0.0675秒, 内存占用1.03 MB, Cache:redis,访问数据库19次