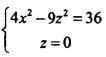
将双曲线,绕x轴旋转一周所生成的旋转曲面的方程是( )。

作者: rantiku 人气: - 评论: 0
问题 将双曲线,绕x轴旋转一周所生成的旋转曲面的方程是( )。
选项
答案 B
解析 1、绕x轴则x不变, 2、另一个z换成+-根号(x^2+y^2) 3、原来曲线方程中的z=0不要 4、得到的方程就是旋转曲面

猜你喜欢

发表评论
更多 网友评论0 条评论)
暂无评论

Copyright © 2012-2014 恰考网 Inc. 保留所有权利。 Powered by tikuer.com

页面耗时0.0321秒, 内存占用1.03 MB, Cache:redis,访问数据库18次