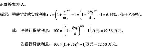
某公司拟向银行贷款100万元,贷款期为3年,甲银行的贷款利率为6% (按季 计息),乙银行的贷款利率为7%,则两家银行贷款利息相比,( )。A.甲银行少 ...

作者: rantiku 人气: - 评论: 0
问题 某公司拟向银行贷款100万元,贷款期为3年,甲银行的贷款利率为6% (按季 计息),乙银行的贷款利率为7%,则两家银行贷款利息相比,( )。
选项 A.甲银行少 B.乙银行少 C.利息相等 D.不能确定
答案 A
解析

猜你喜欢

发表评论
更多 网友评论0 条评论)
暂无评论

Copyright © 2012-2014 恰考网 Inc. 保留所有权利。 Powered by tikuer.com

页面耗时0.0422秒, 内存占用1.03 MB, Cache:redis,访问数据库20次