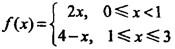
函数,在x→1 时,f(x)的极限是()。A. 2B. 3C. 0D.不存在

作者: rantiku 人气: - 评论: 0
问题 函数,在x→1 时,f(x)的极限是()。
选项 A. 2 B. 3 C. 0 D.不存在
答案 D
解析 正确答案是D。 提示:由知,在x→1时,f(x)的极限不存在,故应选D。

猜你喜欢

发表评论
更多 网友评论0 条评论)
暂无评论

Copyright © 2012-2014 恰考网 Inc. 保留所有权利。 Powered by tikuer.com

页面耗时0.0416秒, 内存占用1.01 MB, Cache:redis,访问数据库20次