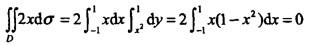
设D是曲线y=x2与y=1 所围闭区域,等于( )。A. 1B. 1/2C.0D. 2

作者: rantiku 人气: - 评论: 0
问题 设D是曲线y=x2与y=1 所围闭区域,等于( )。
选项 A. 1 B. 1/2 C.0 D. 2
答案 C
解析 提示:或积分区域关于y轴对称,被积函数关于x为奇函数,积分为零。

猜你喜欢

发表评论
更多 网友评论0 条评论)
暂无评论

Copyright © 2012-2014 恰考网 Inc. 保留所有权利。 Powered by tikuer.com

页面耗时0.0360秒, 内存占用1.03 MB, Cache:redis,访问数据库18次