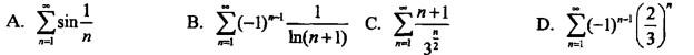
下列各级数中发散的是( )。

作者: rantiku 人气: - 评论: 0
问题 下列各级数中发散的是( )。
选项
答案 A
解析 提示:因为,而发散,故发散,应选A。是交错级数,符合莱布尼茨定理条件;用比值审敛法,可判断级数是收敛的;取绝对值后是等比级数,绝对收敛。

猜你喜欢

发表评论
更多 网友评论0 条评论)
暂无评论

Copyright © 2012-2014 恰考网 Inc. 保留所有权利。 Powered by tikuer.com

页面耗时0.0355秒, 内存占用1.01 MB, Cache:redis,访问数据库18次