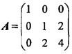
已知矩阵,则A的秩r(A)等于( )。A. 0B. 1C. 2D. 3

作者: rantiku 人气: - 评论: 0
问题 已知矩阵,则A的秩r(A)等于( )。
选项 A. 0 B. 1 C. 2 D. 3
答案 C
解析 提示: A = 0,但A中有二阶子式不为零,r(A)=2,应选C。

猜你喜欢

发表评论
更多 网友评论0 条评论)
暂无评论

Copyright © 2012-2014 恰考网 Inc. 保留所有权利。 Powered by tikuer.com

页面耗时0.0632秒, 内存占用1.01 MB, Cache:redis,访问数据库18次