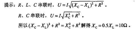
在R、L、C串联电路中,XL=20Ω:若总电压维持不变而将L短路,总电流的有效值与原来相同,则XL应为()Ω。A.40B.30C.10D.5
相关内容:电路,若总,电压,短路,总电,有效值,A.40B.30C.10D.5
- 我国电力网络目前的额定电压主要有()。(A) 3kV,6kV,10kV,35kV,110kV,220kV,330kV,500kV(B) 3kV,6...
- 一台单相变压器的额定电压为U1N/U2N=10/0.4kV = 10/0.4 kV,额定电流为I1N/I2N =25/625 A,则变压器的额定容量SN为...
- 一条阻抗为10+j_3011的110kV线路,取基准功率SB=100MVA,基准电压为各级平均额定电压,那么该线路阻抗的标幺值为()。(A)0.075...
- —台单相变压器的额定容量SN=100kVA,额定电压U1N/U2N=3.3/0.22kV,短路电阻Rk=0.8775Ω,短路电抗Xk=6.0245Ω,则该...
- 我国电力网络目前的额定电压主要有()。(A) 3kV,6kV,10kV,35kV,110kV,220kV,330kV,500kV(B) 3kV,6...