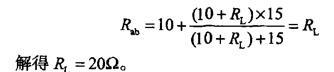
如图7-15所示电路中ab间的等效电阻与电阻RL相等,则RL为()Ω。A.10B.15C.20D.5√10
相关内容:如图,电路,电阻,A.10B.15C.20D.5
- 按照国家技术标准规定,计算变压器的性能时,对绕阻电阻的温度要换算到()数值。(A)40℃ (B)55℃ (C)65℃ (D)75℃
- 一台三相同步电动机的同步电抗Xc=5.8Ω,UN=380V,IN=25.3A,cosψ=0.9,不计定子电阻,Y接法。额定状态运行时的空载电动势E0=25...
- —台单相变压器的额定容量SN=100kVA,额定电压U1N/U2N=3.3/0.22kV,短路电阻Rk=0.8775Ω,短路电抗Xk=6.0245Ω,则该...
- 在电力系统短路电流计算中,假设各元件的磁路不饱和的目的是()。(A)可以应用叠加原理 (B)避免复数运算(C)不计过渡电阻 (D)化故障系统为对称...
- 为了使断路器各断口上的电压分布接近相等,常在断路器多断口上加装()。A.并联电抗B.并联电容C.并联电阻D.并联辅助断口