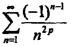
级数 ( )。A.当p>1/2时,绝对收敛 B.当p>1/2时,条件收敛C.当0

作者: rantiku 人气: - 评论: 0
问题 级数 ( )。
选项 A.当p>1/2时,绝对收敛 B.当p>1/2时,条件收敛 C.当0
答案 A
解析 提示:取绝对值后是p级数,2p>1绝对收敛。

猜你喜欢

发表评论
更多 网友评论0 条评论)
暂无评论

Copyright © 2012-2014 恰考网 Inc. 保留所有权利。 Powered by tikuer.com

页面耗时0.0306秒, 内存占用1.03 MB, Cache:redis,访问数据库19次