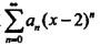
若级数在x = -2处收敛,则此级数在x= 5处( )。A.发散B.条件收敛C.绝对收敛D.收敛性不能确定

作者: rantiku 人气: - 评论: 0
问题 若级数在x = -2处收敛,则此级数在x= 5处( )。
选项 A.发散 B.条件收敛 C.绝对收敛 D.收敛性不能确定
答案 C
解析 提示:利用阿贝尔定理,级数在(-2,6)内绝对收敛。

猜你喜欢

发表评论
更多 网友评论0 条评论)
暂无评论

Copyright © 2012-2014 恰考网 Inc. 保留所有权利。 Powered by tikuer.com

页面耗时0.0391秒, 内存占用1.01 MB, Cache:redis,访问数据库17次