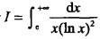
广义积分,则()。A. I = 1B. I= -1C.I=1/2D.此广义积分发散

作者: rantiku 人气: - 评论: 0
问题 广义积分,则()。
选项 A. I = 1 B. I= -1 C.I=1/2 D.此广义积分发散
答案 A
解析

猜你喜欢

发表评论
更多 网友评论0 条评论)
暂无评论

Copyright © 2012-2014 恰考网 Inc. 保留所有权利。 Powered by tikuer.com

页面耗时0.0259秒, 内存占用1.01 MB, Cache:redis,访问数据库17次