均匀紊流的水力坡度()。A.与管道长度成正比B.与管内平均流速成正比C.与沿程损失系数成正比D.与动力黏滞系数成正比

作者: rantiku 人气: - 评论: 0
问题 均匀紊流的水力坡度()。
选项 A.与管道长度成正比 B.与管内平均流速成正比 C.与沿程损失系数成正比 D.与动力黏滞系数成正比
答案 D
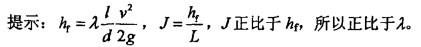
解析

猜你喜欢

发表评论
更多 网友评论0 条评论)
暂无评论

Copyright © 2012-2014 恰考网 Inc. 保留所有权利。 Powered by tikuer.com

页面耗时0.0371秒, 内存占用1.03 MB, Cache:redis,访问数据库19次