图6-24所示半开阀门,阀门前后的测压管水头差为Δh=1m水柱,管径不变,管中平均流速v=2m/s,则该阀门的局部阻力系数ζ为( )。A. 4.9...

作者: rantiku 人气: - 评论: 0
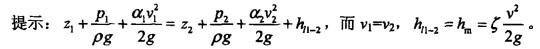
问题 图6-24所示半开阀门,阀门前后的测压管水头差为Δh=1m水柱,管径不变,管中平均流速v=2m/s,则该阀门的局部阻力系数ζ为( )。
选项 A. 4.9 B. 6.1 C. 3.4 D. 4.2
答案 A
解析

猜你喜欢

发表评论
更多 网友评论0 条评论)
暂无评论

Copyright © 2012-2014 恰考网 Inc. 保留所有权利。 Powered by tikuer.com

页面耗时0.0392秒, 内存占用1.03 MB, Cache:redis,访问数据库20次