设随机变量X的概率密度为A. 1/3B. 2/3C. 1/2D.1/4

作者: rantiku 人气: - 评论: 0
问题 设随机变量X的概率密度为
选项 A. 1/3 B. 2/3 C. 1/2 D.1/4
答案 B
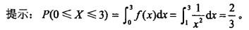
解析

猜你喜欢

发表评论
更多 网友评论0 条评论)
暂无评论

Copyright © 2012-2014 恰考网 Inc. 保留所有权利。 Powered by tikuer.com

页面耗时0.0536秒, 内存占用1.03 MB, Cache:redis,访问数据库19次