在0.05mol/L的HCN中,若有0.01%的HCN电离了,则HCN的解离常数Ka为( )。A. 5×10-8B. 5×10-10C. 5×10...

作者: rantiku 人气: - 评论: 0
问题 在0.05mol/L的HCN中,若有0.01%的HCN电离了,则HCN的解离常数Ka为( )。
选项 A. 5×10-8 B. 5×10-10 C. 5×10-6 D. 2.5×10-7
答案 B
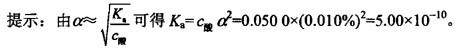
解析

猜你喜欢

发表评论
更多 网友评论0 条评论)
暂无评论

Copyright © 2012-2014 恰考网 Inc. 保留所有权利。 Powered by tikuer.com

页面耗时0.0365秒, 内存占用1.03 MB, Cache:redis,访问数据库18次