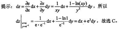
若函数z=ln(xy)/y,则当x=e,y=e-1时,全微分dz等于( )。A. edx + dyB. e2dx-dyC. dx + e2dy...

作者: rantiku 人气: - 评论: 0
问题 若函数z=ln(xy)/y,则当x=e,y=e-1时,全微分dz等于( )。
选项 A. edx + dy B. e2dx-dy C. dx + e2dy D. edx+e2dy
答案 C
解析 正确答案是C。

猜你喜欢

发表评论
更多 网友评论0 条评论)
暂无评论

Copyright © 2012-2014 恰考网 Inc. 保留所有权利。 Powered by tikuer.com

页面耗时0.0536秒, 内存占用1.03 MB, Cache:redis,访问数据库19次