某三相异步电动机,额定电压380V,功率因数0.85,△联结,接于f=50Hz,UL=380V的三相电源上运行,测得线电流为30A,输出转矩为300N·m...

作者: rantiku 人气: - 评论: 0
问题 某三相异步电动机,额定电压380V,功率因数0.85,△联结,接于f=50Hz,UL=380V的三相电源上运行,测得线电流为30A,输出转矩为300N·m,转差率为0.04,该电动机的输出功率是()kW。
选项 A.52.5 B.30.2 C.28.3 D.7.85
答案 B
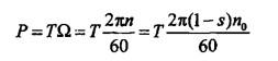
解析 正确答案是B。 提示:用机械量计算输出功率正确答案是B。

猜你喜欢

发表评论
更多 网友评论0 条评论)
暂无评论

Copyright © 2012-2014 恰考网 Inc. 保留所有权利。 Powered by tikuer.com

页面耗时0.0306秒, 内存占用1.03 MB, Cache:redis,访问数据库19次