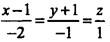
设直线的方程为,则直线()。A.过点(1,-1,0),方向向量为2i+j-kB.过点(1,-1,0),方向向量为2i-j+kC.过点(-1,1,0...

作者: rantiku 人气: - 评论: 0
问题 设直线的方程为,则直线()。
选项 A.过点(1,-1,0),方向向量为2i+j-k B.过点(1,-1,0),方向向量为2i-j+k C.过点(-1,1,0),方向向量为-2i-j+k D.过点(-1,1,0),方向向量为2i+j-k
答案 A
解析 正确答案是A。 提示:由所给直线的方程知,直线过点(1,-1,0),方向向量为-2i-j+k,或2i + j-k。

猜你喜欢

发表评论
更多 网友评论0 条评论)
暂无评论

Copyright © 2012-2014 恰考网 Inc. 保留所有权利。 Powered by tikuer.com

页面耗时0.0326秒, 内存占用1.03 MB, Cache:redis,访问数据库19次