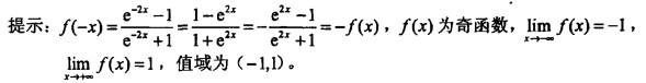
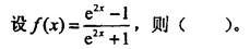
A. f(x)为偶函数,值域为(-1,1)B. f(x)为奇函数,值域为(-∞,0)C.f(x)为奇函数,值域为(-1,1)D. f(x)为奇...
相关内容:函数,值域,为奇
- 逻辑函数Y(A,B,C,D) = ∑m(0,1,2,3,4,6,8) +Σd( 10,11,12,13,14)的最简与一或表达式为()。
- 电路如图所示,若用A=1和B=1代表开关在向上位置,A=0和B=0代表开关在向下位置;以L=1代表灯亮,L=0代表灯灭,则L与A、B的逻辑函数表达式为( ...
- 下列函数中,可以作为连续型随机变量的分布函数的是:
- 下列波函数不合理的是( )A. Ψ(1,1,0)B. Ψ(2,1,0)C. Ψ(3,2,0,)D. Ψ(5,3,0)
- 设服从N(0,1)分布的随机变量X,其分布函数为Φ(x)。如果Φ(1)=0.84,则P{ X ≤1}的值是( )。A. 0.25B. 0.68C....