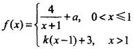
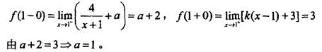
设函数,要使f(x)在点x=1处连续,则a的值是 ( )。A. -2B. -1C. 0D. 1
相关内容:函数,在点
- 逻辑函数Y(A,B,C,D) = ∑m(0,1,2,3,4,6,8) +Σd( 10,11,12,13,14)的最简与一或表达式为()。
- 已知用卡诺图化简逻辑函数的结果是L=A十C,那么该逻辑函数的无关项至少有( )。A. 2个B. 3个C. 4个D.5个
- 下列命题中正确的是()。A.己知逻辑函数A+B=A+C,则B=CB.己知逻辑函数A+B=AB,则A=BC.已知逻辑函数A+B=A,则A=1D....
- 下列波函数不合理的是( )A. Ψ(1,1,0)B. Ψ(2,1,0)C. Ψ(3,2,0,)D. Ψ(5,3,0)
- 某种理想气体的总分子数为N,分子速率分布函数为f(v),则速率在v1~v2区间内的分子数是()。