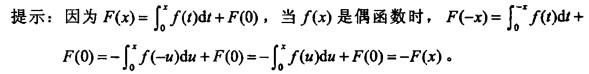
设f(x)是连续函数,F(x)是f(x)的原函数,则()。A.当f(x)是奇函数时,F(x)必是偶函数B.当f(x)是偶函数时,F(x)必是奇函数...
相关内容:连续函数,函数
- 逻辑函数Y(A,B,C,D) = ∑m(0,1,2,3,4,6,8) +Σd( 10,11,12,13,14)的最简与一或表达式为()。
- 下列命题中正确的是()。A.己知逻辑函数A+B=A+C,则B=CB.己知逻辑函数A+B=AB,则A=BC.已知逻辑函数A+B=A,则A=1D....
- 下列波函数不合理的是( )A. Ψ(1,1,0)B. Ψ(2,1,0)C. Ψ(3,2,0,)D. Ψ(5,3,0)
- 设服从N(0,1)分布的随机变量X,其分布函数为Φ(x)。如果Φ(1)=0.84,则P{ X ≤1}的值是( )。A. 0.25B. 0.68C....
- 若y2(x)是线性非齐次方程y'+p(x)y=q(x)的解,y1(x)是对应的齐次方程y'+p(x)y=0的解,则下列函数也是y'+p(x)y=q(...