若等于( )(式中C为任意常数)。A. -cos3x +B. sin3x +C. cos3x +D. 1/3cos3x+

作者: rantiku 人气: - 评论: 0
问题等于( )(式中C为任意常数)。
选项 A. -cos3x + B. sin3x + C. cos3x + D. 1/3cos3x+
答案 A
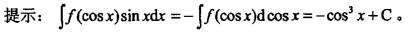
解析

猜你喜欢

发表评论
更多 网友评论0 条评论)
暂无评论

Copyright © 2012-2014 恰考网 Inc. 保留所有权利。 Powered by tikuer.com

页面耗时0.0394秒, 内存占用1.01 MB, Cache:redis,访问数据库20次