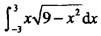
等于()。A. 0B. 9πC. 3πD. 9/2π

作者: rantiku 人气: - 评论: 0
问题 等于()。
选项 A. 0 B. 9π C. 3π D. 9/2π
答案 A
解析 提示:被积函数是奇函数,积分为0。

猜你喜欢

发表评论
更多 网友评论0 条评论)
暂无评论

Copyright © 2012-2014 恰考网 Inc. 保留所有权利。 Powered by tikuer.com

页面耗时0.0367秒, 内存占用1.03 MB, Cache:redis,访问数据库20次