A.-1/4B. 1/2C.1/4D.4

作者: rantiku 人气: - 评论: 0
问题
选项 A.-1/4 B. 1/2 C.1/4 D.4
答案 C
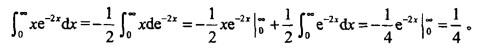
解析 提示:

猜你喜欢

发表评论
更多 网友评论0 条评论)
暂无评论

Copyright © 2012-2014 恰考网 Inc. 保留所有权利。 Powered by tikuer.com

页面耗时0.0354秒, 内存占用1.03 MB, Cache:redis,访问数据库20次