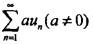
若级数发散,则的敛散性为( )。A. 一定发散 B.可能收敛,也可能发散C. a>0时收敛,a1时发散

作者: rantiku 人气: - 评论: 0
问题 若级数发散,则的敛散性为( )。
选项 A. 一定发散 B.可能收敛,也可能发散 C. a>0时收敛,a1时发散
答案 A
解析 提示:有相同的敛散性。

猜你喜欢

发表评论
更多 网友评论0 条评论)
暂无评论

Copyright © 2012-2014 恰考网 Inc. 保留所有权利。 Powered by tikuer.com

页面耗时0.0339秒, 内存占用1.03 MB, Cache:redis,访问数据库19次