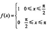
已知,则f(x)在(0,π)内的正级数的和函数s(x)在x=π/2处的值及系数b3分别为( )。

作者: rantiku 人气: - 评论: 0
问题 已知,则f(x)在(0,π)内的正级数的和函数s(x)在x=π/2处的值及系数b3分别为( )。
选项
答案 A
解析 提示:利用迪里克来定理和傅里叶系数公式。

猜你喜欢

发表评论
更多 网友评论0 条评论)
暂无评论

Copyright © 2012-2014 恰考网 Inc. 保留所有权利。 Powered by tikuer.com

页面耗时0.0364秒, 内存占用1.03 MB, Cache:redis,访问数据库19次