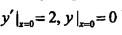
微分方程y''-6y'+9y=0在初始条件下的特解为( )

作者: rantiku 人气: - 评论: 0
问题 微分方程y''-6y'+9y=0在初始条件下的特解为( )
选项
答案 D
解析 提示:这是二阶常系数线性齐次方程。

猜你喜欢

发表评论
更多 网友评论0 条评论)
暂无评论

Copyright © 2012-2014 恰考网 Inc. 保留所有权利。 Powered by tikuer.com

页面耗时0.0831秒, 内存占用1.01 MB, Cache:redis,访问数据库20次