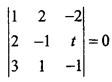
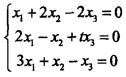
设B是3阶非零矩阵,已知B的每一列都是方程组的解,则t等于( )。A. 0B. 2C. -1D. 1

作者: rantiku 人气: - 评论: 0
问题 设B是3阶非零矩阵,已知B的每一列都是方程组的解,则t等于( )。
选项 A. 0 B. 2 C. -1 D. 1
答案 D
解析 提示:由条件知齐次方程组有非零解,故系数行列式等于零,,得t = 1,故选D。

猜你喜欢

发表评论
更多 网友评论0 条评论)
暂无评论

Copyright © 2012-2014 恰考网 Inc. 保留所有权利。 Powered by tikuer.com

页面耗时0.0412秒, 内存占用1.03 MB, Cache:redis,访问数据库20次