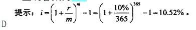
年名义利率r=10%, —年计息次数m=365,则年实际利率为( 〉。A. 10.25%B. 10.38%C. 10.47%D. 10.52%

作者: rantiku 人气: - 评论: 0
问题 年名义利率r=10%, —年计息次数m=365,则年实际利率为( 〉。
选项 A. 10.25% B. 10.38% C. 10.47% D. 10.52%
答案 D
解析

猜你喜欢

发表评论
更多 网友评论0 条评论)
暂无评论

Copyright © 2012-2014 恰考网 Inc. 保留所有权利。 Powered by tikuer.com

页面耗时0.0354秒, 内存占用1.03 MB, Cache:redis,访问数据库15次