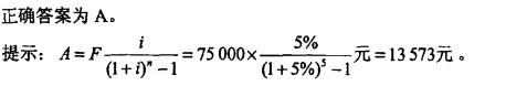
某人计划5年末购置一辆价格为75 000元的汽车,故每年年末向银行等额存款一次,已知年利率为5%,则此人每年末等额存 款应为( )元。A. 13 573 ...

作者: rantiku 人气: - 评论: 0
问题 某人计划5年末购置一辆价格为75 000元的汽车,故每年年末向银行等额存款一次,已知年利率为5%,则此人每年末等额存 款应为( )元。
选项 A. 13 573 B. 14 093 C. 17 323 D. 17 401
答案 A
解析

猜你喜欢

发表评论
更多 网友评论0 条评论)
暂无评论

Copyright © 2012-2014 恰考网 Inc. 保留所有权利。 Powered by tikuer.com

页面耗时0.0352秒, 内存占用1.03 MB, Cache:redis,访问数据库20次