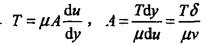
如图6-1所示,平板与固体壁面间间距为1mm,流体的动力黏滞系数为S, 以50N的力拖动,速度为1m/s,平板的面积是( )m2。 A. 1B. ...

作者: rantiku 人气: - 评论: 0
问题 如图6-1所示,平板与固体壁面间间距为1mm,流体的动力黏滞系数为S, 以50N的力拖动,速度为1m/s,平板的面积是( )m2。
选项 A. 1 B. 0.5 C. 5 D. 2
答案 B
解析 提示:牛顿内摩擦定律

猜你喜欢

发表评论
更多 网友评论0 条评论)
暂无评论

Copyright © 2012-2014 恰考网 Inc. 保留所有权利。 Powered by tikuer.com

页面耗时0.0291秒, 内存占用1.03 MB, Cache:redis,访问数据库18次